Versão original em inglês criada por Sal Khan. Hesabu za Kipeuo 2 - Exponent Properties 2.
Exact Equations Intuition 1 Proofy Video Khan Academy
Area Circumradius Formula Proof.

Exact equations khan academy. 13 height pi r squared 13 x h x pi x. The area of the base times the height. He shows the power of interactive exercises and calls for teachers to consider flipping the traditional classroom script -- give students video lectures to watch at home.
The simultaneous solution of these equations is a 3 and b 1. TED Talk Subtitles and Transcript. First example of solving an exact differential equationWatch the next lesson.
The correct coefficient of e 12 is -48512 20 whereas Ramanujans formula gives -97032 21 for a discrepancy approximately equal to -e 12 2 21. On Monday the stand sold 666 more squashes than pumpkins and made a total of 98009800dollar sign 98 point 00. A vegetable stand sells p pumpkins for 500500dollar sign 5 point 00 each and s squashes for 300300dollar sign 3 point 00 each.
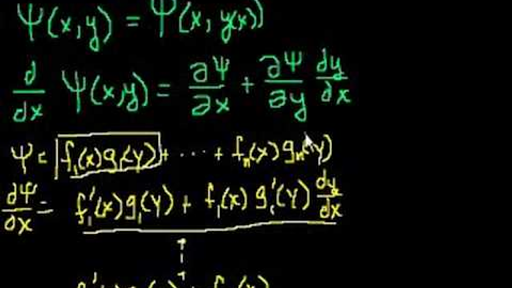
Exactness of this equation means. By equating like terms in this last equation it must be the case that. Thus the integrating factor x a y b is x 3 y and the exact equation M dx N dy 0 reads.
2003 AIME II Problem 7. Is exact for some a and b. BeginalignM 2xy - 9x2hspace025inM_y 2x N 2y x2 1hspace025inN_x 2xendalign So the differential equation is exact according to the test.
Triangle Altitudes are Concurrent Orthocenter Eulers Line Proof. Cos ab cos a cos b- sin a sin b Trig identies part 3 part 5 if you watch the proofs Trigonometric Identities. A is the area b is the base of the triangle usually the bottom side and h is the height a straight perpendicular line drawn from the base to the highest point of the triangle.
Equações exatas intuitivas 2 demonstração Equações exatas - exemplo 1. Remarkably the first 6 terms of the power series for this formula with respect to e 2 coincide with the corresponding terms in the exact expansion given aboveIts only with the coefficient of e 12 that things start to differ slightly. Kujumlisha na Kutoa Mlinganyo - Adding and Subtracting Rational Expressions 1.
Kurahisisha namba mraba 2 - Simplifying Radical Expressions 2. With the new profile page users can hover over. The linear approximation is L θ f 0 f 0 θ a 0 1 θ 0 θ L θ f 0 f 0 θ a 0 1 θ 0 θ.
Height pi r 2 squared h x pi x radius. Learn using expert-created videos interactive exercises and in-depth articles in math arithmetic pre-algebra algebra geometry trigonometry statistics calculus differential equations linear algebra science biology chemistry physics economics microeconomics macroeconomics finance and capital markets humanities art history civics finance US history US government and politics world history. This is actually a somewhat important linear approximation.
Sin ab cos a sin b sin a cos b Double angle formular for cosine. Energy Points is an incentive on Khan Academy given for completing skills completing programming challenges earning badges watching videos participating in discussions and a variety of other tasks. Sal Khan has done something.
This can be particularly helpful for students who dont know anything about test prep or feel overwhelmed by it. Equações exatas e fatores integrantes. Khan Academy will break it down and walk you through the process.
Circumcenter of a Triangle. Trig identities and examples. Khan Academy is an education app for everyonewhether youre a parent helping your first grader with geometry or a postgrad looking for a deep dive into microfinance.
Kurahisisha namba mraba - Simplifying Radical Expressions1. To find the area of a triangle youll need to use the following formula. And regurgitate yet thats exactly how his videos present it.
In this way Khan Academy provides some structure for you to base your study plan around. Visão sobre equações exatas 1 demonstração Este é o item selecionado atualmente. Write the formula for finding the volume of a cylinder.
Regra da cadeia usando derivadas parciais não é uma demonstração é mais uma visão. One-third 13 x h x pi x radius 2 write the formula for finding the volume of a cone. Before Khan Academys new layout in 2012 the number of Energy Points that a user currently had were invisible at any page in Khan Academy.
First identify M and N and check that the differential equation is exact. Point Line Distance and Angle Bisectors. Multiplying and Dividing Rational Expressions 1.
If theres a topic you want to learn aboutno matter how basic or advancedchances are Khan Academy has a video lesson for it. Khan Academy boasts almost 3300 videos. So as long as θ θ stays small we can say that sin θ θ sin θ θ.
Salman Khan talks about how and why he created the remarkable Khan Academy a carefully structured series of educational videos offering complete curricula in math and now other subjects. Incenter and incircles of a triangle. This formula may also be written like this.
Special properties and parts of triangles.

Khan Academy Equations Differential Equations Khan Academy

Verifying Solutions To Differential Equations Differential Equations 3 Differential Equations Equations Solutions

Solve A First Order Homogeneous Differential Equation 1 Differential Mathematical Expression Free Math Help Math Methods